Новости ученического самоуправления
УЧЕНИЧЕСКОЕ САМОУПРАВЛЕНИЕ - форма реализации обучающимися права на участие в управлении общеобразовательным учреждением, предполагающее участие учеников в решении вопросов при организации учебно-воспитательного процесса совместно с педагогическим коллективом и администрацией учреждения
Поддержка детского самоуправления в школе помогает педагогам воспитывать в детях инициативность, самостоятельность, ответственность, трудолюбие, чувство собственного достоинства, а школьникам – предоставляет широкие возможности для самовыражения и самореализации. Это то, что готовит их к взрослой жизни. Поскольку учащимся младших и подростковых классов не всегда удается самостоятельно организовать свою деятельность, детское самоуправление иногда и на время может трансформироваться в детско-взрослое самоуправление.
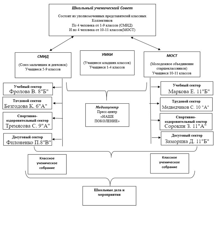
Детское самоуправление в школе осуществляется следующим образом:
Структура школьного ученического самоуправления – «ШКОЛЬНОЕ СОДРУЖЕСТВО»
